Saturday, June 2, 2018

Решебник Арутюнова Ю.С. Задание N120 Высшая математика

Решебник Арутюнова Ю.С. Задание N120 Высшая математика


Продаж: 0
Возвратов: 0


Описание:

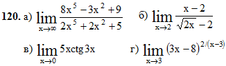
Готовое решение задачи. Решебник Арутюнова. Задание №120.

111 – 120. Найти пределы функций, не пользуясь правилом Лопиталя.



Если у вас похожее задание, прорешаю на заказ, пишите мне http://fizmathim.plati.ru
Подробное решение. Оформлено в Microsoft Word 2003 (Задание решено с использованием редактора формул)

Отзывы








No comments:

Post a Comment