Решебник Арутюнова Ю.С. Задание N140 Высшая математика
Продаж: 0
Возвратов: 0
Описание:
Готовое решение задачи. Решебник Арутюнова. Задание №140.
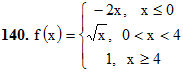
131 – 140. Задана функция y=f(x). Найти точки разрыва функции, если они существуют. Сделать чертеж.
Если у вас похожее задание, прорешаю на заказ, пишите мне http://fizmathim.plati.ru
Подробное решение. Оформлено в Microsoft Word 2003 (Задание решено с использованием редактора формул)
Отзывы

No comments:
Post a Comment