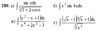
Решебник Арутюнова Ю.С. Задание N289 Высшая математика
Продаж: 0
Возвратов: 0
Описание:
Готовое решение задачи. Решебник Арутюнова. Задание №289.
281 – 290. Найти неопределенные интегралы. В двух первых примерах [п. а) и б)] проверить результаты дифференцированием.
Если у вас похожее задание, прорешаю на заказ, пишите мне http://fizmathim.plati.ru
Подробное решение. Оформлено в Microsoft Word 2003 (Задание решено с использованием редактора формул)
Отзывы

No comments:
Post a Comment