Решебник Арутюнова Ю.С. Задание N360 Высшая математика
Продаж: 0
Возвратов: 0
Описание:
Готовое решение задачи. Решебник Арутюнова. Задание №360.
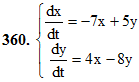
351 – 360. Дана система линейных дифференциальных уравнений с постоянными коэффициентами
Требуется: 1) найти общее решение системы с помощью характеристического уравнения; 2) записать в матричной форме данную систему и ее решение.
Если у вас похожее задание, прорешаю на заказ, пишите мне http://fizmathim.plati.ru
Подробное решение. Оформлено в Microsoft Word 2003 (Задание решено с использованием редактора формул)
Отзывы

No comments:
Post a Comment